近日,六合彩結果
電子科學與技術系主任童美松教授收到美國國家科六合彩結果
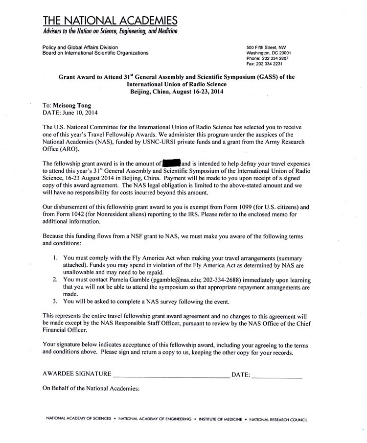
國際科學組織委員會主任Kathie Bailey的來信,通知他已被國際無線電科學聯盟美國國家委員會選為2014年的Travel Fellowship獎獲得者,5000美元的獎金將用于資助他參加今年八月在我國首都北京舉行的第31屆國際無線電科學聯盟大會暨科學研討會(The 31st General Assembly and Scientific Symposium of the International Union of Radio Science)。上述獎項由美國科六合彩結果
(NAS)、國際無線電科學聯盟美國國家委員會(USNC-URSI)及陸軍研究辦公室(ARO)共同支持和贊助,由美國科六合彩結果
國際科學組織委員會負責管理,旨在吸引和資助無線電科學領域的著名科學家參加國際無線電科學聯盟大會暨科學研討會。
國際無線電科學聯盟大會暨科學研討會是無線電科學及其緊密相關的電磁場與微波、天線領域最頂級的學術會議之一(另一頂級會議是由IEEE天線與傳播學會舉辦的IEEE天線與傳播國際研討會),每三年舉行一次,首次會議于1922年在比利時首都布魯塞爾舉辦,今年首次由我國電子學會在北京舉辦,預計將有來自世界各地的論文作者、參展商等4000多人參加,它將是無線電科學領域規模最大的高水平學術盛會之一。(萬國春)

發布日期:2014-06-27
上一條:六合彩結果
召開學生座談會
下一條:控制系召開2010級自動化專業畢業生座談會